ggridges: Ridgeline plots in ggplot2

R build status Coverage Status CRAN_Status_Badge CRAN_Downloads_Badge Lifecycle: maturing

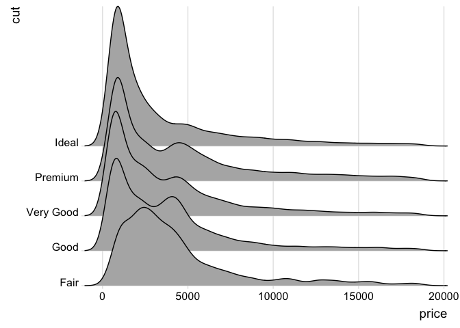
Ridgeline plots are partially overlapping line plots that create the impression of a mountain range. They can be quite useful for visualizing changes in distributions over time or space.

Installation

Please install the stable release from CRAN:

install.packages("ggridges")

Alternatively, you can install the latest development version from github:

remotes::install_github("wilkelab/ggridges")

Usage

library(ggplot2)
library(ggridges)
    
ggplot(diamonds, aes(x = price, y = cut)) +
  geom_density_ridges(scale = 4) + 
  scale_y_discrete(expand = c(0, 0)) +     # will generally have to set the `expand` option
  scale_x_continuous(expand = c(0, 0)) +   # for both axes to remove unneeded padding
  coord_cartesian(clip = "off") + # to avoid clipping of the very top of the top ridgeline
  theme_ridges()
#> Picking joint bandwidth of 458

Documentation and Examples

First read the package vignette. Then read the reference manual.