An R package for difference-in-differences with a continuous treatment.
You can install the development version of contdid from GitHub with:
# install.packages("devtools")
::install_github("bcallaway11/contdid")
devtools
library(contdid)
This is an alpha version of the contdid
package. The core features are implemented and functional, but the
package remains under active development. The API may change, and
additional functionality is planned.
We welcome feedback and encourage users to report bugs or other issues via the GitHub Issues page.
❌ Discrete treatments
⚠️ Data-driven models for treatment effects as a function of the dose
❌ Repeated cross-sections data
❌ Unbalanced panel data
❌ Doses that vary over time
❌ Including covariates
Below, we give several examples of how to estimate causal effect
parameters using the contdid
package.
At a high level, the interface is basically the same as for the
did
package and for packages that rely on the
ptetools
backend, with only a few pieces of additional
information being required. First, the name of the continuous treatment
variable should be passed through the dname
argument.
The cont_did
function expects the continuous treatment
variable to behave in certain ways:
It needs to be time-invariant.
It should be set to its time-invariant value in pre-treatment periods. This is just a convention of the package, but, in particular, you should not have the treatment variable coded as being 0 in pre-treatment periods.
For units that don’t participate in the treatment in any time period, the treatment variable just needs to be time-invariant. In some applications, e.g., the continuous treatment variable may be defined for units that don’t actually participate in the treatment. In other applications, it may not be defined for units that do not participate in the treatment. The function behaves the same way in either case.
Next, the other important parameters are
target_parameter
, aggregation
, and
treatment_type
:
target_parameter
can either be “level” or “slope”.
If “level”, then the function will calculate ATT
parameters. If set to be “slope”, then the function will calculate
ACRT
parameters—these are causal response parameters that
are derivatives of the ATT
parameters. Our paper Callaway, Goodman-Bacon, and
Sant’Anna (2024) points out some complications for interpreting
these derivative type parameters under the most commonly invoked version
of the parallel trends assumption.
aggregation
can either by “eventstudy” or “dose”.
For “eventstudy”, depending on the value of the
target_parameter
argument, the function will provide either
the average ATT
across different event times or the average
ACRT
across different event times. For “dose”, the function
will average across all time periods and report average affects across
different values of the continuous treatment. For the “dose”
aggregation, results are calculated for both ATT
and
ACRT
and can be displayed by providing different arguments
to plotting functions (see example below).
treatment_type
can either be “continuous” or
“discrete”. Currently only “continuous” is supported. In this case, the
code proceeds as if the treatment really is continuous. The estimate are
computed nonparametrically using B-splines. The user can control the
number of knots and the degree of the B-splines using the
num_knots
and degree
arguments. The defaults
are num_knots=0
and degree=1
which amounts to
estimating ATT(d)
by estimating a linear model in the
continuous treatment among treated units and subtracting the average
outcome among the comparison units.
With a continuous treatment, the underlying building blocks are
treatment effects that are local to a particular timing group
g
in a particular time period t
that
experienced a particular value of the treatment d
. These
treatment affects are relatively high-dimensional, and most applications
are likely to involve aggregating/combining these underlying parameters.
We focus on aggregations that (i) average across timing-groups and time
periods to given average treatment effect parameters as a function of
the dose d
or (ii) averages across doses and partially
across timing group and time periods in order to give event studies.
For the results below, we will simulate some data, where the
continuous treatment D
has no effect on the outcome.
# Simulate data
set.seed(1234)
<- simulate_contdid_data(
df n = 5000,
num_time_periods = 4,
num_groups = 4,
dose_linear_effect = 0,
dose_quadratic_effect = 0
)head(df)
#> id G D time_period Y
#> 1 1 2 0.08593221 1 0.3579583
#> 2 1 2 0.08593221 2 5.2354694
#> 3 1 2 0.08593221 3 3.2717079
#> 4 1 2 0.08593221 4 4.3988042
#> 5 2 4 0.17217781 1 5.9743351
#> 6 2 4 0.17217781 2 5.8463051
The following code can be used to estimate the ATT(d)
and ACRT(d)
parameters for the continuous treatment
D
using the cont_did
function. The
aggregation
argument is set to “dose” and the
target_parameter
argument is set to “level” for
ATT(d)
and “slope” for ACRT(d)
.
<- cont_did(
cd_res yname = "Y",
tname = "time_period",
idname = "id",
dname = "D",
data = df,
gname = "G",
target_parameter = "slope",
aggregation = "dose",
treatment_type = "continuous",
control_group = "notyettreated",
biters = 100,
cband = TRUE,
num_knots = 1,
degree = 3,
)
summary(cd_res)
#>
#> Overall ATT:
#> ATT Std. Error [ 95% Conf. Int.]
#> -0.0265 0.0301 -0.0855 0.0325
#>
#>
#> Overall ACRT:
#> ACRT Std. Error [ 95% Conf. Int.]
#> 0.1341 0.0485 0.039 0.2293 *
#> ---
#> Signif. codes: `*' confidence band does not cover 0
ggcont_did(cd_res, type = "att")
ggcont_did(cd_res, type = "acrt")
Next, we consider event study aggregations. The first is an event
study aggregation for ATT
. The second is an event study
aggregation for ACRT
.
Event study aggregation for ATT
:
Notice that the target parameter is set level
to target
ATT, and the aggregation
argument is set to
eventstudy
.
<- cont_did(
cd_res_es_level yname = "Y",
tname = "time_period",
idname = "id",
dname = "D",
data = df,
gname = "G",
target_parameter = "level",
aggregation = "eventstudy",
treatment_type = "continuous",
control_group = "notyettreated",
biters = 100,
cband = TRUE,
num_knots = 1,
degree = 3,
)
summary(cd_res_es_level)
#>
#> Overall ATT:
#> ATT Std. Error [ 95% Conf. Int.]
#> -0.0243 0.0289 -0.0808 0.0323
#>
#>
#> Dynamic Effects:
#> Event Time Estimate Std. Error [95% Conf. Band]
#> -2 -0.0222 0.0504 -0.1488 0.1044
#> -1 0.0116 0.0271 -0.0565 0.0798
#> 0 -0.0039 0.0299 -0.0790 0.0713
#> 1 -0.0160 0.0397 -0.1157 0.0837
#> 2 -0.0839 0.0419 -0.1891 0.0212
#> ---
#> Signif. codes: `*' confidence band does not cover 0
ggcont_did(cd_res_es_level)
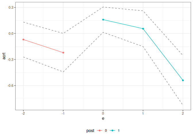
Event study aggregation for ACRT
:
Relative to the previous code, notice that the target parameter is
set slope
to target ACRT.
<- cont_did(
cd_res_es_slope yname = "Y",
tname = "time_period",
idname = "id",
dname = "D",
data = df,
gname = "G",
target_parameter = "slope",
aggregation = "eventstudy",
treatment_type = "continuous",
control_group = "notyettreated",
biters = 100,
cband = TRUE,
num_knots = 1,
degree = 3,
)
summary(cd_res_es_slope)
#>
#> Overall ACRT:
#> ATT Std. Error [ 95% Conf. Int.]
#> 0.1341 0.0584 0.0197 0.2485 *
#>
#>
#> Dynamic Effects:
#> Event Time Estimate Std. Error [95% Conf. Band]
#> -2 -0.0701 0.0808 -0.2710 0.1308
#> -1 -0.2212 0.0892 -0.4431 0.0007
#> 0 0.1592 0.0586 0.0136 0.3048 *
#> 1 0.0551 0.0828 -0.1509 0.2610
#> 2 -0.5405 0.1154 -0.8275 -0.2535 *
#> ---
#> Signif. codes: `*' confidence band does not cover 0
ggcont_did(cd_res_es_slope)
In most applications, it is hard to know the correct functional form
for the treatment effects as a function of the dose. In Callaway,
Goodman-Bacon, and Sant’Anna (2025), the approach we emphasize comes
from Chen, Christensen, and Kankanala (2025), and the
contdid
package uses their npiv
package to implement this approach. Code-wise, the only thing to
change is to set the argument dose_est_method="cck"
. [Note
that we currently only support this option for the case with two periods
and no staggered adoption. With more periods, you can average the pre-
and post-treatment periods to reduce it to a two period case and then
run the code below; in fact, this is what we did in the application in
our paper.]
# simulate data with only two periods
# add quadratic effect to see how well we can detect it
# (note code will not "know" that the effect is quadratic)
<- simulate_contdid_data(
df2 n = 5000,
num_time_periods = 2,
num_groups = 2,
dose_linear_effect = 0,
dose_quadratic_effect = 1
)$D[df2$G == 0] <- 0
df2head(df2)
#> id G D time_period Y
#> 1 1 2 0.890987 1 1.84272906
#> 2 1 2 0.890987 2 5.30890209
#> 3 2 0 0.000000 1 0.59423237
#> 4 2 0 0.000000 2 2.81443324
#> 5 3 0 0.000000 1 1.77438193
#> 6 3 0 0.000000 2 -0.01032246
<- cont_did(
cd_res_cck yname = "Y",
tname = "time_period",
idname = "id",
dname = "D",
data = df2,
gname = "G",
target_parameter = "level",
aggregation = "dose",
treatment_type = "continuous",
dose_est_method = "cck",
control_group = "notyettreated",
biters = 100,
cband = TRUE,
)
summary(cd_res_cck)
#>
#> Overall ATT:
#> ATT Std. Error [ 95% Conf. Int.]
#> 0.3399 0.037 0.2673 0.4125 *
#>
#>
#> Overall ACRT:
#> ACRT Std. Error [ 95% Conf. Int.]
#> 0.6595 0.1853 0.2964 1.0226 *
#> ---
#> Signif. codes: `*' confidence band does not cover 0
ggcont_did(cd_res_cck) +
stat_function(
fun = function(x) x^2,
aes(color = "Truth"),
linetype = "dashed",
size = 1
+
) scale_color_manual(values = c("Truth" = "red")) +
labs(color = "")